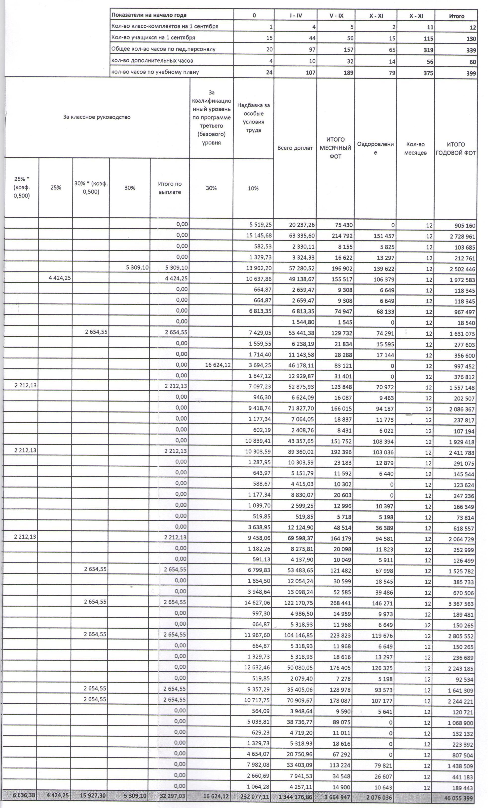
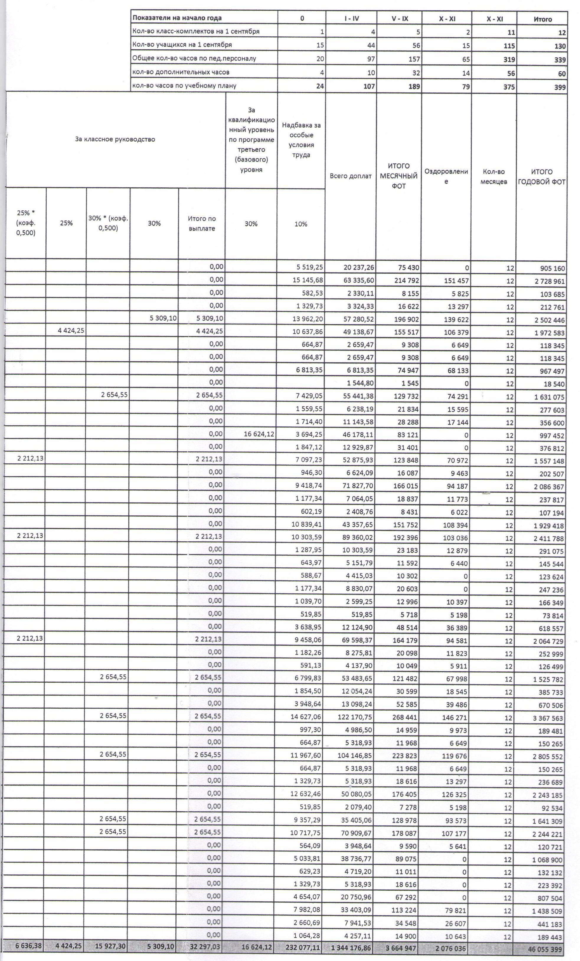
"Ж.Молдағалиев атындағы МДШО бар орта мектебі Қожбан БМ" КММ-нің 2019-2020 оқу жылына арналған тариффикациялық тізімі » Ж. Молдағалиев атындағы орта мектеп
Жетісу облысы білім басқармасының
Қаратал ауданы бойынша білім бөлімінің
"Ж. Молдағалиев атындағы орта мектебі"
коммуналдық мемлекеттік мекемесі
Қабылдау бөлімі :
+7(72834)28324
Есепші бөлімі:
+7(72) 23-11-37
Нашар көрушілер
нұсқасы
» » » "Ж.Молдағалиев атындағы МДШО бар орта мектебі Қожбан БМ" КММ-нің 2019-2020 оқу жылына арналған тариффикациялық тізімі
17
октябрь
2019

"Ж.Молдағалиев атындағы МДШО бар орта мектебі Қожбан БМ" КММ-нің 2019-2020 оқу жылына арналған тариффикациялық тізімі





Похожие публикации:

12 май 2017 Семинар
19 апрель 2017 Футбол
19 апрель 2017 Абай оқулары
Прокомментировать
  • bowtiesmilelaughingblushsmileyrelaxedsmirk
    heart_eyeskissing_heartkissing_closed_eyesflushedrelievedsatisfiedgrin
    winkstuck_out_tongue_winking_eyestuck_out_tongue_closed_eyesgrinningkissingstuck_out_tonguesleeping
    worriedfrowninganguishedopen_mouthgrimacingconfusedhushed
    expressionlessunamusedsweat_smilesweatdisappointed_relievedwearypensive
    disappointedconfoundedfearfulcold_sweatperseverecrysob
    joyastonishedscreamtired_faceangryragetriumph
    sleepyyummasksunglassesdizzy_faceimpsmiling_imp
    neutral_faceno_mouthinnocent
Введите код с картинки:* Кликните на изображение чтобы обновить код, если он неразборчив
[aviable=main]

Біздің ұжым
Мекен жайымыз
Қаратал ауданы, Көкпекті ауылы Сағатбек Ыбрайымұлы көшесі, 3 үй

©2016-2019, Ресми сайт Қаратал ауданы білім бөлімінің "Ж. Молдағалиев атындағы орта мектебі" КММ
Барлық құқық қорғалған "Интерактивті мектеп" жобасы. Техникалық қолдаушы "Internet service" +77075327722